第A18版:信息披露 上一版  下一版
 
标题导航
首页 | 电子报首页 | 版面导航 | 标题导航
2026年04月24日 星期五 上一期  下一期
下一篇 放大 缩小 默认
招商证券基金评价业务信息披露(2025年度)

  声明
  本公司承诺按照信息披露材料的内容开展基金评价业务,不存在任何虚假记载、误导性陈述或重大遗漏,并对内容的真实性、准确性、完整性负责。
  一、基本情况
  表1:机构基本情况表
  ■
  二、基金评价人员情况
  表2:基金评价从业人员情况表
  ■
  三、基金评价标准、方法、程序以及调整情况
  (一)基金评价标准和方法
  1.基金评级
  (1)基金评级对象
  基金类别:对股票型基金、混合型基金、债券型基金、FOF基金及股票多空型基金进行评级;货币型基金、QDII基金、商品基金、REITs暂不进行评级;三级分类可评级基金数量少于20只暂不进行评级。
  运行时间:
  ● 三年期评级:发行/转型后在目前三级分类运行超过42个月。
  ● 五年期评级:发行/转型后在目前三级分类运行超过66个月。
  ● 十年期评级:发行/转型后在目前三级分类运行超过126个月。
  评价份额:对于有多个份额的基金,基于成立时间最早的份额或不收取销售服务费份额的业绩进行评级。
  特殊情况:对于评级周期中未遵守基金合同规定投资限制的基金,如大类资产配置范围超越基金合同限制投资范围的基金,不予评级。
  (2)基金评级的理论方法
  遵循长期导向原则,关注基金的持续回报能力。对主动股票型、主动混合型、主动债券型、FOF基金及股票多空型基金的评级结果综合反映基金历史表现展现出的收益与风险特性;对指数股票型和指数债券型的评级结果综合反映基金历史表现展现出的跟踪标的指数与收益增强能力。
  评级指标设置遵循客观、全面、可解释的原则。根据经典投资组合理论,以资本资产定价模型、单指数模型为基础,综合考虑基金收益、风险、流动性等多方面表现,并结合不同类型基金投资目标与风险收益特点设置评级指标。
  分配星级时,根据评级指标值在三级分类同类基金中由大到小进行排序:前10%评为五星;接下来22.5%评为四星;中间35%评为三星;随后22.5%评为二星;最后10%评为一星。采用四舍五入从五星开始确定每个星级基金数量。部分类别基金采用评级参考指标对基金工具性属性进行补充评价,以最后一颗星的颜色标示。
  评级周期为36、60和120个月,更新间隔为3个月。评级截止日为季度末自然日,评级结果更新时间为评级截止日后的5个工作日。评级结果定期公布在公司网站上。
  (3)基金评级应用的分类
  以《公开募集证券投资基金运作管理办法》中规定的基金分类标准为基础,对基金进行一级分类,分为股票型基金、混合型基金、债券型基金、货币型基金、FOF基金、QDII基金和其他基金;进一步,根据基金合同规定的运作方式、大类资产投资范围,对基金进行二级分类和三级分类,分类结果如下:
  表3:招商证券基金评级分类
  ■
  注1:主动混合型基金根据基金合同中规定的权益投资上下限进行三级分类:
  ● 偏股混合型:权益仓位上限+权益仓位下限≥120%;
  ● 灵活配置型:权益仓位范围为0-95%;
  ● 平衡混合型:60%〈权益仓位上限+权益仓位下限〈120%且不属于灵活配置型基金;
  ● 偏债混合型:60%≥权益仓位上限+权益仓位下限。
  ● 非现金基金资产的80%及以上投资港股通标的股票的,根据权益投资上下限划分为港股偏股混合型和港股灵活配置型
  注2:主动债券型基金根据基金合同中规定的投资范围与久期进行三级分类:
  ● 短期纯债型:不投资股票、不投资可转债(可投资可转债的纯债部分),投资于剩余期限不超过397天(含)的短期债券占非现金资产/债券资产比例不低于80%;
  ● 中长期纯债型:不投资股票,不投资可转债(可投资可转债的纯债部分),基金合同对投资组合剩余期限没有具体要求或要求不符合短期纯债型基金定义;
  ● 复合债券型:可以投资股票或可转债,基金合同对可转债仓位没有具体要求或要求不符合转债债券型基金定义;
  ● 转债债券型:不投资股票,投资转债,投资于可转债占非现金资产/债券资产比例不低于80%。
  注3:普通FOF基金根据基金合同中规定的基金类型和投资范围进行三级分类:
  ● 股票型FOF:基金合同中规定为股票型基金中基金;
  ● 偏股混合型FOF:基金合同中规定为混合型基金中基金,且权益类资产(股票、股票型基金、混合型基金、商品型基金等)仓位上限+权益类资产仓位下限≥120%;对于部分未明确标明权益类资产投资范围的基金,要求其业绩比较基准中权益类指数的权重≥60%;
  ● 平衡混合型FOF:基金合同中规定为混合型基金中基金,且60%〈权益仓位类资产上限+权益类资产仓位下限〈120%;对于部分未明确标明权益类资产投资范围的基金,要求其业绩比较基准中权益类指数的权重介于40%-60%之间;
  ● 偏债混合型FOF:基金合同中规定为混合型基金中基金,且60%≥权益类资产仓位上限+权益类资产仓位下限;对于部分未明确标明权益类资产投资范围的基金,要求其业绩比较基准中权益类指数的权重≤40%。
  ● 债券型FOF:基金合同中规定为债券型基金中基金。
  注4:养老目标风险FOF根据合同中的投资权益资产比例进行划分,权益资产指的是股票、股票型基金、混合型基金和商品基金(含商品期货基金和黄金ETF)等。
  ● 稳健型:权益资产投资比例上限≤30%;
  ● 均衡型:30%<权益资产投资比例上限≤60%;
  ● 积极型:60%<权益资产投资比例上限≤80%
  注5:养老目标日期FOF根据合同中规定的目标日期进行三级分类,每5年为一档:
  ● 2025(2023-2027):目标日期在2023年-2027年;
  ● 2030(2028-2032):目标日期在2028年-2032年;
  ● 2035(2033-2037):目标日期在2033年-2037年;
  ● 其余细分类型参照以上规则进行类推。
  ● 未来随着老产品的到期转型以及新产品的推出,定期对细分类型进行调整。
  注6:部分类别基金由于类别内各基金投资目标差异较大,难以互相比较进行评级,因此不进行评级。对股票型基金、混合型基金、债券型基金、FOF、股票多空基金进行评级,货币型基金、QDII基金、其他基金(股票多空基金除外)暂不进行评级。
  注7:按招商证券基金评价体系要求,三级分类可评级基金数量少于 20 只暂不进行评级。
  (4)基金评级的指标体系
  三年期评级、五年期评级、十年期评级的指标均采用时间加权指标,时间加权的方式如下:
  三年期=0.5×α1+0.3×α2+0.2×α3
  五年期=0.3×α1+0.25×α2+0.2×α3+0.15×α4+0.1×α5
  十年期=0.1×(α1+α2+α3+α4+α5+α6+α7+α8+α9+α10)
  α1、α2、α3、α4、α5、α6、α7、α8、α9、α10为评价周期中,过往1-12个月,13-24个月,25-36个月,37-48个月,49-60个月,61-72个月,73-84个月,85-96个月,97-108个月,109-120个月分别计算的评级指标。
  评级涉及的指标计算方式如下:
  1)Jensen Alpha
  Jensen Alpha =Rp-[Rf+βp(Rb-Rf)]
  Rp为基金净值增长率,Rf为无风险收益,βp为基金系统风险,Rb为基准指数收益率。基准指数为中证800指数,净值增长率的计算步长为周,无风险收益率定为3%(年化)。
  2)Sharpe指标
  Sharpe=(Rp-Rf)/σp,
  Rp为资产净值增长率,Rf为无风险收益,σp为资产净值增长率的标准差。净值增长率的计算步长为周,无风险收益率定为3%(年化)。
  3)跟踪误差
  
  
  
  
  计算每日基金复权单位净值增长率Rp和每日跟踪指数收益率RI,区间收益率个数T。计算每日的跟踪偏差DI=Rp-RI,区间内平均跟踪偏差D=∑DI/T
  4)信息比率
  
  
  
  
  Rp为基金每日复权净值的收益率序列数据,RI为标的指数每日收益率序列数据,TE为跟踪误差。
  5)基金净值与业绩比较基准的相关系数R
  
  
  
  
  y为基金复权周净值收益率序列数据;x为业绩比较基准周收益率序列数据。
  6)年化波动率
  年化波动率=
  
  σp为资产净值增长率的标准差,净值增长率计算步长为周,w为排名区间周数。
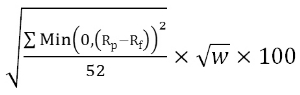
  7)年化下行风险
  
  年化下行风险=
  
  
  Rp为基金净值增长率,Rf为无风险收益,净值增长率的计算步长为周,w为排名区间周数,无风险收益率定为3%(年化)。
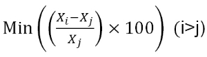
  8)最大回撤
  
  最大回撤=
  
  
  Xi、Xj为排名区间内所有的复权单位净值。
  9)日均交易额
  
  
  
  
  10)年化换手率
  
  
  
  
  根据基金分类采用不同的评级指标进行基金评级,部分类别基金采用评级参考指标进行补充评价,以最后一颗星的颜色标示。
  1)主动股票型、主动混合型
  评级指标:时间加权Jensen Alpha;
  评级参考指标:基金净值与业绩比较基准的相关系数R
  根据相关系数R决定最后一颗星颜色。在三级分类同类基金中由大到小进行排序,相关系数排名前1/3的基金最后一颗星标蓝色,相关系数后1/3的基金最后一颗星标红色,采用四舍五入确定每种颜色基金数量。
  2)主动债券型
  短期纯债型、中长期纯债型、复合债券型基金评级指标:时间加权Sharpe;
  转债债券型基金评级指标:时间加权Jensen Alpha。
  3)指数型
  指数股票型(不含股票指数增强型)和指数债券型(不含债券指数增强型)评级指标:时间加权跟踪误差;
  股票指数增强型、债券指数增强型基金评级指标:信息比率;
  股票ETF、债券ETF评级参考指标:区间日均成交额。
  根据区间日均成交额在三级分类同类基金中由大到小进行排序,决定最后一颗星颜色:日均成交额最大1/3基金最后一颗星标蓝色,日均成交额最小1/3基金最后一颗星标红色,采用四舍五入确定每种颜色基金数量,余下基金最后一颗星标白色。
  4)FOF基金
  普通FOF型(不含债券型FOF)、养老目标风险FOF(积极)、养老目标风险FOF(均衡)、养老目标日期FOF(2030及以上)评级指标:时间加权Jensen Alpha;
  债券型普通FOF、养老目标风险FOF(稳健)、养老目标日期FOF(2025)评级指标:时间加权Sharpe。
  5)股票多空基金
  评级指标:时间加权Sharpe指标。
  2.基金单一指标排名
  (1)基金单一指标排名对象
  基金类别:
  对股票型基金、混合型基金、债券型基金、FOF基金及股票多空型基金进行排名;货币型基金、QDII基金、商品基金、REITs暂不进行排名;三级分类可排名基金数量少于10只暂不进行排名。
  运行时间:发行/转型后在目前三级分类运行超过18个月。
  排名份额:对于有多个份额的基金,基于A份额或不收取销售服务费份额的业绩进行排名。如果A份额存续不足18个月,其他份额存续超过18个月,基于最先发行份额的业绩进行排名。
  (2)基金排名的理论方法
  为了反映基金业绩、风险、流动性等各方面特点,满足评级使用者对于基金单项特点进行对比研究的需求,基于客观、全面、可解释原则,选取一系列指标对基金进行排名。
  基金与三级分类同类基金进行比较排名。排名周期为1年、2年、3年、5年、10年、年度(不含当前年度),更新间隔为3个月,更新时间与评级结果更新时间相同。
  (3)基金单一指标体系
  1)主动股票型、主动混合型、FOF、股票多空型基金排名指标
  业绩排名指标:复权单位净值增长率、Jensen Alpha、Sharpe;
  风险排名指标:年化波动率、年化下行风险、最大回撤;
  主动债券型(不含转债债券型)和股票多空型基金不计算Jensen Alpha。
  2)指数型基金排名指标
  风险排名指标:跟踪误差;
  业绩排名指标:超额收益、信息比率;
  股票ETF、债券ETF流动性排名指标:日均交易额、年化换手率、跟踪误差。
  3.基金评价数据来源
  基金评级使用的数据来源于Wind及聚源数据库,采用双源校验的形式,制定了严格的数据采集、录入和校验流程确保数据的可靠性、准确性和完整性,并制定了完善的存储机制保证数据存储的安全性。
  (二)基金管理公司评价标准和方法
  1.基金管理公司评级
  (1)基金管理公司评级对象
  基金管理公司评级体系包含了综合投资能力、主动权益投资能力、主动债券投资能力和被动投资能力评级,该评级体系中的主动权益类基金是指三级分类为标准股票型、偏股混合型、平衡混合型和灵活配置型的基金,主动债券类基金指三级分类为偏债混合型、短期纯债型、中长期纯债型、复合债券型、转债债券型的基金,被动投资类基金是指三级分类为标准股票指数型、股票ETF、股票指数增强型、标准债券指数型、债券ETF、债券指数增强型的基金。
  综合投资能力评级:首先选出旗下至少有一只主动权益类基金、主动债券类基金、被动投资类基金成立满42个月的基金公司。再对各家基金管理公司主动权益类基金、主动债券类基金、被动投资类基金评级期间合计平均管理规模进行排序,取前2/3基金管理公司进行评级(数量四舍五入)。
  主动权益投资能力评级:首先选出旗下至少有一只主动权益类基金成立满42个月的基金公司,再对各家基金管理公司主动权益类基金评级期间平均管理规模进行排序,取前2/3基金管理公司进行评级(数量四舍五入)。
  主动债券投资能力评级:首先选出旗下至少有一只主动债券类基金成立满42个月的基金公司,再对各家基金管理公司主动债券类基金评级期间平均管理规模进行排序,取前2/3基金管理公司进行评级(数量四舍五入)。
  被动投资能力评级:首先选出旗下至少有一只被动投资类基金成立满42个月的基金公司,再对各家基金管理公司被动投资类基金评级期间平均管理规模进行排序,取前2/3基金管理公司进行评级(数量四舍五入)。
  特殊情况:对于评级周期中合规经营和风险控制等方面出现严重违规、违纪情况的基金管理公司,不予评级。信息来源于基金公司依法在中国证监会指定媒体披露的信息和公告、监管机构公告的基金管理公司违规行为、以及对基金公司的定期和不定期调研等。
  (2)基金管理公司评级的理论方法
  对基金管理公司进行四项投资能力评级:主动权益投资能力评级、主动债券投资能力评级、被动投资能力评级及综合投资能力评级。
  评价采用定量分析方法,通过业绩、规模、团队三方面指标进行客观、公正评价。计算业绩指标时,采用不同业绩指标评价各三级分类产品投资能力,具体业绩评价指标与基金评级采用的基金评级指标一脉相承,再通过规模加权反映基金管理公司类别产品整体业绩。计算规模指标时,计入当时正在运行的所有相关类别产品,包括新发的基金,以反映基金管理公司类别产品整体规模。
  分配星级时,指标由大到小进行排序:前10%评为五星;接下来22.5%评为四星;中间35%评为三星;随后22.5%评为二星;最后10%评为一星。采用四舍五入从五星开始确定每个星级基金管理公司数量。
  评级周期为36个月,更新间隔为3个月,数据截止日、更新时间与招商证券基金评价结果更新时间一致。评级结果定期公布在公司网站与媒体上。
  (3)基金管理公司评级的指标体系
  1)主动权益投资能力评级方法
  主动权益投资能力指标=业绩指标×60%+规模指标×30%+团队指标×10%
  业绩指标:将业绩标准分(按三级分类)进行规模加权后取标准分。规模为评价区间平均规模,仅包括参与业绩指标计算的基金。
  ①先分别计算三个评价阶段(过往1-12个月,13-24个月,25-36个月)的规模加权Jensen Alpha,计算时包括基金管理公司旗下所有具有该阶段完整业绩的主动权益类基金业绩(发行、转型后6个月建仓期业绩不算)。用于规模加权业绩指标的规模为评价区间平均规模,仅包括参与业绩指标计算的基金、基金参与业绩指标计算的评价阶段。
  ②计算时间加权Jensen Alpha(0.5×α1+0.3×α2+0.2×α3),α1、α2、α3为过往1-12个月,13-24个月,25-36个月分别计算的规模加权Jensen Alpha。
  ③将各参与评级基金管理公司主动权益类基金规模加权、时间加权Jensen Alpha取标准分(Jensen Alpha指标越大标准分越高)。
  规模指标:对各参与评级基金管理公司主动权益类产品管理规模(区间平均)进行排序,将排名取标准分。计算主动权益类产品区间平均管理规模时,每个时点管理规模包括当时正在运行的所有主动权益类产品。
  团队指标:将各参与评级基金管理公司主动权益资深基金经理数量(期末时点数量)取标准分。主动权益资深基金经理定义为担任基金经理超过3年,目前管理主动权益类产品的基金经理。
  2)主动债券投资能力评级方法
  主动债券投资能力指标=业绩指标×50%+规模指标×40%+团队指标×10%
  业绩指标:计算方式与主动权益类基金类似,偏债混合型、转债债券型基金业绩指标为时间加权Jensen Alpha,短期纯债型、中长期纯债型、复合债券型基金业绩指标为时间加权Sharpe指标。
  规模指标:对各参与评级基金管理公司主动债券类产品管理规模(区间平均)进行排序,将排名取标准分。计算主动债券类产品区间平均管理规模时,每个时点管理规模包括当时正在运行的所有主动债券类产品。
  团队指标:将各参与评级基金管理公司主动债券资深基金经理数量(期末时点数量)取标准分。主动债券资深基金经理定义为担任基金经理超过3年,目前管理主动债券类产品的基金经理。
  3)被动投资能力评级方法
  被动投资能力指标=业绩指标×50%+规模指标×40%+团队指标×10%
  业绩指标:计算方式与主动权益类基金类似,标准股票指数型、股票ETF、标准债券指数型、债券ETF的业绩指标为跟踪误差,股票指数增强型和债券指数增强型的业绩指标为信息比率。
  以股票ETF为例,股票ETF的业绩指标计算方式为:
  ①先分别计算三个评价阶段(过往1-12个月,13-24个月,25-36个月)的规模加权跟踪误差,计算时包括基金管理公司旗下所有具有该阶段完整业绩的股票ETF(发行、转型后6个月建仓期业绩不算)。用于规模加权业绩指标的规模为评价区间平均规模,仅包括基金参与业绩指标计算的评价阶段。
  ②计算时间加权跟踪误差(0.5×TE1+0.3×TE2+0.2×TE3),TE1、TE2、TE3为过往1-12个月,13-24个月,25-36个月的规模加权跟踪误差。如果仅有两个评价阶段有跟踪误差数据(另一评价阶段没有股票ETF有完整业绩),计算时间加权时采用6:4权重(0.6×TEi+0.4×TEj)(i<j);如果仅有一个评价阶段有跟踪误差数据,不进行时间加权。
  ③将各参与评级基金管理公司股票ETF规模加权、时间加权跟踪误差取标准分(跟踪误差指标越小标准分越高)。
  规模指标:将各参与评级基金管理公司被动投资类产品管理规模(区间平均)进行排序,将排名取标准分。计算被动投资类产品区间平均管理规模时,每个时点管理规模包括当时正在运行的所有被动投资类产品。
  团队指标:将各参与评级基金管理公司被动投资资深基金经理数量(期末时点数量)取标准分。被动指数资深基金经理定义为担任基金经理超过3年,目前管理被动投资类基金的基金经理。
  4)综合投资能力评级方法
  综合投资能力指标=主动权益投资能力指标×50%+主动债券投资能力指标×30%+被动投资能力指标×20%
  2.基金管理公司单一指标排名
  (1)基金管理公司单一指标排名对象
  主动权益投资能力相关指标排名:确定排名周期后,首先选出旗下至少有一只主动权益类产品(定义同上)具有排名周期完整业绩(发行、转型后6个月建仓期业绩不算)的基金公司。再对各家基金管理公司主动权益类产品排名周期内平均管理规模进行排序,取前2/3基金管理公司进行单一指标排名(数量四舍五入)。
  主动债券投资能力相关指标排名:确定排名周期后,首先选出旗下至少有一只主动债券类产品(定义同上)具有排名周期完整业绩(发行、转型后6个月建仓期业绩不算)的基金公司。再对各家基金管理公司主动债券类产品排名周期内平均管理规模进行排序,取前2/3基金管理公司进行单一指标排名(数量四舍五入)。
  被动投资能力相关指标排名:确定排名周期后,首先选出旗下至少有一只被动投资类产品(定义同上)具有排名周期完整业绩(发行、转型后6个月建仓期业绩不算)的基金公司。再对各家基金管理公司被动投资类产品排名周期内平均管理规模进行排序,取前2/3基金管理公司进行单一指标排名(数量四舍五入)。
  QDII相关指标排名、FOF相关指标排名、股票多空基金相关指标排名:确定排名周期后,选出旗下至少有一只该类别基金具有排名周期完整业绩(发行、转型后6个月建仓期业绩不算)的基金公司。暂不进行管理规模剔除。
  (2)基金管理公司排名的理论方法
  为了反映基金管理公司产品、团队等各方面特点,满足评级使用者对于基金管理公司单项特点进行对比研究的需求,基于客观、全面、可解释原则,选取一系列指标对基金管理公司进行排名。
  排名周期为1年、2年、3年、5年、10年、年度(不含当前年度),更新间隔为3个月,更新时间为基金公布季度报告月份的月末。评级结果定期公布在公司网站与媒体上。
  某排名周期、某指标排名对象少于10时,不进行排名。
  (3)基金管理公司单一指标体系
  单一指标体系包含了五星基金数量指标、业绩指标、风险指标和团队指标,不同产品类型应用不同的业绩指标和风险指标。各业绩、风险指标计算方法参考基金单一指标计算公式。资深基金经理指标计算方法参考基金管理公司评级中团队指标计算方法。用于加权的规模为评价区间平均规模,仅包括参与业绩指标计算的基金。五星基金数量指标与团队指标仅根据最新数据计算当前排名。计算基金经理相关指标时,纳入统计范围的是管理该类别基金的基金经理。计算基金经理平均管理规模时,使用的时点管理规模,包括当时正在运行的所有该类别的基金。
  1)主动权益投资能力相关指标
  表4:主动权益投资能力排名指标
  ■
  主动权益类基金包含了标准股票型、偏股混合型、平衡混合型、灵活配置型基金。计算排名周期各指标时包括基金管理公司旗下所有具有该排名周期完整业绩的相应类别基金(发行、转型后6个月建仓期业绩不算),按基金三级分类进行排名。
  2)主动债券投资能力相关指标
  表5:主动债券投资能力排名指标
  ■
  主动债券类基金:包含偏债混合型、短期纯债型、中长期纯债型、复合债券型、转债债券型基金。
  规模加权Jensen Alpha/Sharpe:转债债券型和偏债混合型基金采用Jensen Alpha,其他类别采用Sharpe指标。
  3)被动投资能力相关指标
  表6:被动投资能力排名指标
  ■
  被动投资类基金:包含标准股票指数型、股票ETF、股票指数增强型、标准债券指数型、债券ETF、债券指数增强型基金。
  4)其他指标
  表7:QDII相关排名指标
  ■
  表8:FOF相关排名指标
  ■
  规模加权Jensen Alpha/Sharpe:债券型普通FOF、养老目标风险FOF(稳健)、养老目标日期FOF(2025)采用时间加权Sharpe,其余类别采用时间加权Jensen Alpha。
  表9:股票多空基金相关排名指标
  ■
  3.基金管理公司评价数据来源
  所有数据来源于基金公司依法在中国证监会指定媒体发布的信息和公告。
  (三)基金、基金管理公司评价标准调整情况
  从2021年二季度起,不再对货币市场基金与货币型FOF进行评价与排名,将评级截止日与评级结果更新时间提前至季末。
  2022年10月起,更新基金分类方法。
  (四)基金、基金管理公司评奖情况
  招商证券目前没有独立开展基金(基金管理公司)评奖活动,仅作为中国证券报社“中国基金业金牛奖”协办单位、证券时报社“中国基金业明星基金奖”协办单位和上海证券报社“中国‘金基金’奖”协办单位参加基金评奖活动。
  (五)评级、排名程序和发布方式
  1.评级、排名程序
  基金评价业务部门中负责基金评级业务的专业人员根据招商证券基金评价业务有关规定定期进行评级、单一指标排名,评级、排名结果经两位专业评价人员复核,基金评价业务负责人审核确认,基金评价业务部门合规专员进行合规审核后发布(图1)。
  图1:招商证券基金评级程序
  
  
  
  
  
  
  
  
  
  
  
  
  
  
  
  
  
  
  
  
  
  
  
  2.评级、排名发布方式
  每季度公开在招商证券官网及基金评价相关信息系统终端发布基金、基金公司评级结果及基金、基金公司单一指标排名结果。
  以数据对接的方式向签约网络财经媒体(目前合作伙伴包括新浪网、Wind资讯平台等)发布基金评级结果。
  四、基金评价业务开展情况
  在开展基金评价业务期间,严格遵守《招商证券股份有限公司基金评价业务日常运作管理办法》的规定,流程持续优化、责任分配到人,保证了基金评价结果及时、准确的发布。
  基于资本市场的发展、基金行业监管逐步完善、行业参与者不断创新,及时对基金分类、评价方式等作出调整。
  取得基金评价业务资格至今,未发生任何违规行为,以及法律、法规、或中国证监会规定禁止的其他行为。
  五、履行信息披露义务情况
  1.招商证券开展基金评价业务信息披露情况
  根据中国证监会《证券投资基金业评价业务管理暂行办法》和中国证券业协会《证券投资基金评价业务自律管理规则(试行)》的规定,公开披露基金评价业务相关信息,并对所提供信息的真实性、准确性、完整性负责。
  2.招商证券基金评价结果披露情况
  自2010年5月取得基金评价业务资格至今,严格依照《招商证券股份有限公司基金评价业务日常运作管理办法》的规定,定期披露招商证券基金评价结果。披露内容和披露频率如下:
  表10:招商证券基金评价结果发布情况
  ■
  六、关联关系信息披露
  1.同一股东持有本机构、基金管理公司股份均达到5%以上:无
  2.本机构持有基金管理公司的股份达到5%以上:招商证券持有博时基金管理公司49%的股份,持有招商基金管理公司45%的股份。
  3.签署了基金产品销售协议的公募基金管理公司名单及销售的公募基金产品数量:截止到2025年12月底,招商证券共与142家公募基金公司签署了基金产品代销协议,销售19706只基金产品。
  表11:招商证券代销基金所属基金公司表
  ■
  4.提供证券投资咨询服务或销售信息产品且获得收入的公募基金管理公司:截止到2025年12月底,招商证券为以下公募基金公司提供证券投资咨询服务。

下一篇 4 放大 缩小 默认
+1
满意度:
综合得分:
中国证券报社版权所有,未经书面授权不得复制或建立镜像 京ICP证 140145号 京公网安备110102000060-1
Copyright 2001-2010 China Securities Journal. All Rights Reserved