第A15版:货币/债券 上一版3  4下一版
 
标题导航
首页 | 电子报首页 | 版面导航 | 标题导航 | 报库检索
2013年04月23日 星期二 上一期  下一期
下一篇 4 放大 缩小 默认
“黑天鹅”狂舞 债券市场一日入秋

 没有征兆,没有缓冲,伴随着疾风骤雨般的监管风暴来袭,原本拖沓于“牛尾”行情的债券市场不得不直面抛盘涌现、收益率暴涨的惨烈调整。数个交易日之间,债券市场尝尽冷暖,行情变脸之快,让投资者始料未及。分析人士认为,事件正在升级,风险还在扩散,降杠杆不会一蹴而就,其过程将是剧烈而痛苦的。然而,相对短期行情的动荡,表外资产监管对债券市场发展所带来的影响必将是深远而长久的。

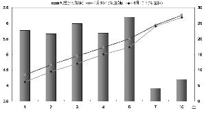
 近四个交易日银行间AA级中短期票据收益率曲线

 交易所活跃信用债近四个交易日市场表现

证券简称 收盘价 区间涨跌(全价;元) 区间成交额(全价;百万元) 收盘到期收益率 区间收益率波动(BP) 主体等级 债券分类

(全价;元)

08万科G2 105.26 -0.24 106.48 4.43 82.35 AA+ 公司债

09银基债 107.92 -1.73 50.71 6.69 77.75 AA 公司债

09名流债 106.82 -0.88 147.43 5.80 67.29 AA+ 公司债

09富力债 106.97 -0.71 136.81 4.71 55.07 AA+ 公司债

09鹤城投 108.75 -1.30 36.64 5.51 50.41 AA 企业债

11庞大02 105.68 -1.48 57.61 7.12 49.04 AA+ 公司债

08铁岭债 111.63 -1.05 51.00 5.49 47.61 AA 企业债

11蒙奈伦 108.19 -1.70 78.99 7.24 43.97 AA 企业债

11双鸭山 108.65 -1.58 45.62 6.89 43.30 AA 企业债

09怀化债 109.01 -1.40 99.14 5.79 42.99 AA 企业债

11新筑债 107.71 -1.20 40.10 7.02 41.66 AA 公司债

12兴荣债 107.99 -9.61 302.44 6.03 39.12 AA 企业债

下一篇 4 放大 缩小 默认
中国证券报社版权所有,未经书面授权不得复制或建立镜像 京ICP证 010042号
Copyright 2001-2010 China Securities Journal. All Rights Reserved