第A21版:
专题
上一版
3
4
下一版
标题导航
·
出口增速回落顺差料持续下降
调整投资结构促经济平稳运行
·
表1:三大国际机构对2011年全球经济的预测(%)
·
上半年投资增速
高位运行
·
图1:固定资产投资(不含农户)及其增速(亿元,%)
·
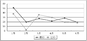
图1:2011年上半年外贸进出口月度增速(%)
首页
|
电子报首页
|
版面导航
|
标题导航
2011年07月28日 星期四
上一期
下一期
3
上一篇
放大
缩小
默认
图1:2011年上半年外贸进出口月度增速(%)
图1:2011年上半年外贸进出口月度增速(%)
资料来源:海关总署。
3
上一篇
放大
缩小
默认
中国证券报社版权所有,未经书面授权不得复制或建立镜像 京ICP证 010042号
Copyright 2001-2010 China Securities Journal. All Rights Reserved
第A01版:要闻
第A02版:财经新闻
第A03版:焦点
第A04版:读者热线
第A05版:地产中国
第A06版:信息披露
第A07版:基金
第A08版:公司新闻
第A09版:信息披露
第A10版:公司新闻
第A11版:公司新闻
第A12版:信息披露
第A13版:并购重组周刊
第A14版:市场新闻
第A15版:趋势·热点
第A16版:数据·信息
第A17版:品种·价值
第A18版:货币·债券
第A19版:商品·期货
第A20版:前沿视点
第A21版:专题
第A22版:每日行情
第A23版:每日行情
第A24版:信息披露
第A25版:信息披露
第A26版:信息披露
第A27版:信息披露
第A28版:信息披露
第A29版:信息披露
第A30版:信息披露
第A31版:信息披露
第A32版:信息披露
第A33版:信息披露
第A34版:信息披露
第A35版:信息披露
第A36版:信息披露
第A37版:信息披露
第A38版:信息披露
第A39版:信息披露
第A40版:信息披露
第B001版:信息披露
第B002版:信息揭示
第B003版:信息披露
第B004版:信息披露
第B005版:信息披露
第B006版:信息披露
第B007版:信息披露
第B008版:信息披露
第B009版:信息披露
第B010版:信息披露
第B011版:信息披露
第B012版:信息披露
第B013版:信息披露
第B014版:信息披露
第B015版:信息披露
第B016版:信息披露
第B017版:信息披露
第B018版:信息披露
第B019版:信息披露
第B020版:信息披露
第B021版:信息披露
第B022版:信息披露
第B023版:信息披露
第B024版:信息披露
第B025版:信息披露
第B026版:信息披露
第B027版:信息披露
第B028版:信息披露
第B029版:信息披露
第B030版:信息披露
第B031版:信息披露
第B032版:信息披露
第B033版:信息披露
第B034版:信息披露
第B035版:信息披露
第B036版:信息披露
第B037版:信息披露
第B038版:信息披露
第B039版:信息披露
第B040版:信息披露
第B041版:信息披露
第B042版:信息披露
第B043版:信息披露
第B044版:信息披露
出口增速回落顺差料持续下降
调整投资结构促经济平稳运行
表1:三大国际机构对2011年全球经济的预测(%)
上半年投资增速
高位运行
图1:固定资产投资(不含农户)及其增速(亿元,%)
图1:2011年上半年外贸进出口月度增速(%)
日
一
二
三
四
五
六