第B21版:
信息披露
上一版
下一版
标题导航
·
山东浪潮齐鲁软件产业股份有限公司第三届监事会第十三次会议决议公告
·
山东浪潮齐鲁软件产业股份有限公司关于召开2005年第一次临时股东大会的通知
·
山东浪潮齐鲁软件产业股份有限公司第三届董事会第二十八次会议决议公告
·
银行债券、拆借汇价、黄金行情
·
大连商品交易所大豆、豆粕期货价格每周行情表
·
大连商品交易所大豆、豆粕期货价格每日行情
·
封闭市投资基金周行情2005.02.16-02.18
·
国债周行情
·
期货日报、期货周报
·
深圳B股周行情
·
上海B股周行情
·
深圳股市周交易总览2005.02.16-02.18
·
上海股市周交易总览2005.02.16-02.18
首页
|
电子报首页
|
版面导航
|
标题导航
2005年02月19日 星期六
上一期
下一期
上一篇
下一篇
放大
缩小
默认
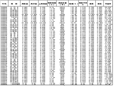
深圳B股周行情
3
上一篇
下一篇
4
放大
缩小
默认
赞
+1
满意度:
综合得分:
中国证券报社版权所有,未经书面授权不得复制或建立镜像 京ICP证 140145号 京公网安备110102000060-1
Copyright 2001-2010 China Securities Journal. All Rights Reserved
第A01版:财富中国 要闻
第A02版:财富中国 财经大观
第A03版:财富中国 财经人物
第A04版:财富中国 国际财经
第A05版:财富中国 房产天地
第A06版:财富中国 经营之道
第A07版:财富中国 妙手理财
第A08版:财富中国 汽车时代
第A09版:财富中国 财富管家
第A10版:财富中国 前沿视点
第A11版:财富中国 经济文摘
第A12版:财富中国 听涛茶舍
第A13版:财富中国 信息科技
第A14版:财富中国 理论
第A15版:信息披露
第A16版:A直直版
第B01版:市场周刊 要闻
第B02版:市场周刊 公司一周
第B03版:市场周刊 券商论道
第B04版:市场周刊 技术测势
第B05版:市场周刊 板块动向
第B06版:市场周刊 数据一周
第B07版:市场周刊 活跃个股
第B08版:潜力品种
第B09版:市场周刊 潜力品种
第B10版:市场周刊 潜力品种
第B11版:市场周刊 K线精选
第B12版:市场周刊 K线精选
第B13版:市场周刊 K线精选
第B14版:市场周刊 K线精选
第B15版:张翔
第B16版:个股行情与点评
第B17版:个股行情与点评
第B18版:个股行情与点评
第B19版:B直直版
第B20版:每日行情
第B21版:信息披露
第B22版:信息披露
第B23版:信息披露
第B24版:信息披露
山东浪潮齐鲁软件产业股份有限公司第三届监事会第十三次会议决议公告
山东浪潮齐鲁软件产业股份有限公司关于召开2005年第一次临时股东大会的通知
山东浪潮齐鲁软件产业股份有限公司第三届董事会第二十八次会议决议公告
银行债券、拆借汇价、黄金行情
大连商品交易所大豆、豆粕期货价格每周行情表
大连商品交易所大豆、豆粕期货价格每日行情
封闭市投资基金周行情2005.02.16-02.18
国债周行情
期货日报、期货周报
深圳B股周行情
上海B股周行情
深圳股市周交易总览2005.02.16-02.18
上海股市周交易总览2005.02.16-02.18
日
一
二
三
四
五
六